Yayasan Tunku Abdul RahmanA-10-10 Menara UOA Bangsar59000 BangsarKuala Lumpur. Bantuan pelajaran atau dermasiswa Tunku Abdul Rahman juga ada ditawarkan.
Permohonan Biasiswa Tunku Abdul Rahman Btar Ijazah Sarjana Muda
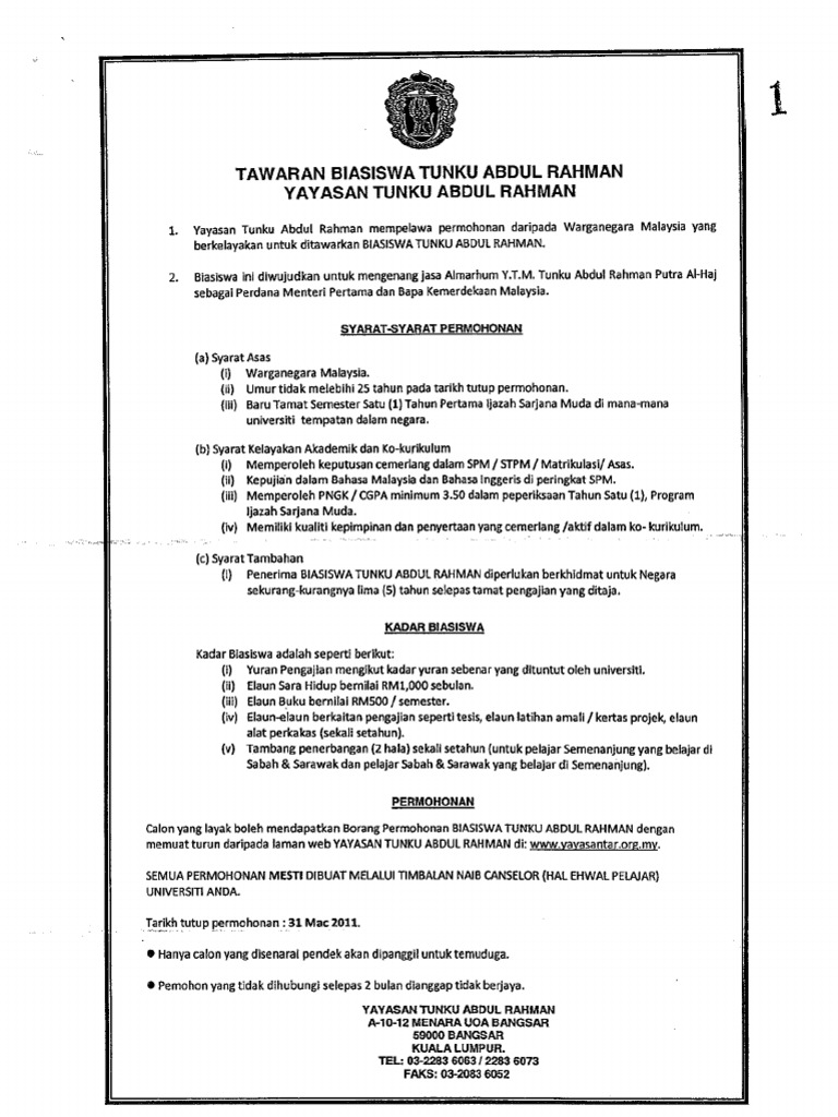
Biasiswa Tunku Abdul Rahman BTAR.
. Scholarship Peringkat Degree Jikalau ada merupakan kalangan yang baru sahaja menamatkan pengajian. UPDATED - 7 Mac 2019 Biasiswa Tunku Abdul Rahman untuk lepasan SPM STPM Asasi Matrikulasi dan Diploma untuk sambung pengajian ke peringkat degree. If youre a malay you could ask great-grandparents or grandparents that there was a time when kampung people dont even wear tudung or a hijab.
Biasiswa 2022 Ijazah Sarjana Muda Degree Scholarship Senarai tawaran dan cara memohon Biasiswa 2022 untuk degree dan Biasiswa Ijazah Sarjana Muda. It provides financial support to potential graduates who are pursuing studies at Bachelors Degree level at any IPTA or IPTS in the country. Select category from list.
Please visit the website for application process and scholarship details. Level 1 4 yr. Semoga sedikit informasi mengenai Biasiswa Tunku Abdul Rahman ini bermanfaat kepada anda.
Permohonan akan dibuka pada 8 Februari 2022 dan akan ditutup pada 8 April 2022. Biasiswa Tunku Abdul Rahman BTAR bertujuan untuk membantu pelajar yang berpotensi tinggi dan layak supaya mereka dapat melanjutkan pelajaran di institusi tempatan sama ada awam ataupun swasta. Looking for the shorthand of biasiswa tunku abdul rahman.
Then the 80s-90s came with the government enforcing stricter islamic laws on the arts industry and. Biasiswa Tunku Abdul Rahman BTAR adalah bertujuan untuk membantu pelajar-pelajar yang kurang bernasib baik untuk melanjutkan pelajaran di universiti. Biasiswa Tunku Abdul Rahman scholarship is named after Almarhum YTM.
All Unclassified 1 Sort by. Mengikuti pengajian peringkat Sarjana Muda di universiti tempatan sahaja. Program biasiswa ini menekankan pengembangan diri secara holistik dan berdasarkan nilai-nilai murni.
Biasiswa Tunku Abdul Rahman Scholarship Biasiswa 2022 Ijazah Sarjana Muda Degree Scholarship. We are committed to helping all students especially high. YTM Tunku Abdul Rahman Putra Al-Haj.
Biasiswa Tunku Abdul Rahman BTAR 13th February 2022. Jadi saya akan berkongsi bagaimana proses pemilihan Biasiswa Tunku Abdul Rahman kerana saya merupakan salah seorang penerima biasiswa ini. Sukacita dimaklumkan bahawa Biasiswa Tunku Abdul Rahman BTAR 2022 kini dibuka untuk permohonan.
This page is about the various possible meanings of the acronym abbreviation shorthand or slang term. This prestigious and exclusive scholarship is offered to bright students who have strong leadership. Tunku Abdul Rahman Putra Al-Haj who was the Father of Independence Bapa Kemerdekaan or Father of Malaysia Bapa Malaysia and also the first prime minister of Malaysia.
Pemohonan bagi biasiswa yayasan biasiswa sarawak Tunku Abdul Rahman 20182019 telah dibuka kepada anak-anak kelahiran dari negeri sarawak untuk membuat permohonan mereka. Yayasan Tunku Abdul Rahman Scholarship ini terbuka kepada semua pelajar Malaysia. Webmaster 2019 Yayasan Biasiswa Sarawak Tunku Abdul Rahman YBSTAR Wisma Adenan Jalan Sultan Tengah Petra Jaya 93050 Kuching Sarawak MALAYSIA.
Biasiswa Tunku Abdul Rahman BTAR adalah biasiswa ijazah sarjana muda yang terbuka kepada pelajar yang berpotensi tinggi dan bercita-cita tinggi untuk menyumbang ke arah pembangunan Malaysia. Biasiswa tunku abdul rahman. Oleh itu penerima-penerima biasiswa akan menjalani.
The Biasiswa Tunku Abdul Rahman is more than just a prestigious scholarship - it is also a leadership development program meant to develop the future leaders of Malaysia. Scholarship offer 20222023 Session Iklan Tawaran Biasiswa 20222023 COMPLETED application form checklist and all the required documents should reach the Yayasan Sarawak Office on or before the 29th July 2022 Friday before 400PM Application forms and. Browse discover thousands of brands.
The scholarship is open to all focusing especially on high-potential students with a strong financial need to cover the expenses of the universitys tuition fees and living expenses during the course of the study. YAYASAN TUNKU ABDUL RAHMAN About YTAR. Read customer reviews find best sellers.
Program biasiswa ini menekankan pengembangan diri secara holistik dan berdasarkan nilai-nilai murni. Biasiswa Tunku Abdul Rahman Scholarship BTAR This prestigious and exclusive scholarship is offered to excellent students with high leadership talent. Yayasan Biasiswa Sarawak Tunku Abdul Rahman YBSTAR Tujuan.
Ianya memberikan sokongan kewangan kepada bakal graduan yang mengikuti pengajian di peringkat Ijazah. Biasiswa ini ini terbuka kepada semua dan ditumpukan khususnya kepada pelajar berpotensi tinggi yang amat memerlukan bantuan kewangan untuk menampung yuran pengajian universiti dan sara hidup. Oleh itu penerima-penerima biasiswa akan menjalani.
BTAR dibuka kepada pelajar yang telah menamatkan pengajian pra-universiti dan mempunyai sekurang-kurangnya baki dua tahun tempoh pengajian ijazah sarjana muda. Tunku abdul rahman playboy al haj. Biasiswa Tunku Abdul Rahman BTAR adalah biasiswa ijazah sarjana muda yang terbuka kepada pelajar yang berpotensi tinggi dan bercita-cita tinggi untuk menyumbang ke arah pembangunan Malaysia.
PERMOHONAN BIASISWA YAYASAN BIASISWA SARAWAK TUNKU ABDUL RAHMAN YBSTAR 20182019 Penulis mypendidikanmalaysia. Yayasan Tunku Abdul Rahman merupakan yayasan yang memberikan tajaan kepada para pelajar yang mempunyai rekod yang baik dalam peperiksaan dan aktif dalam kokurikulum. 4 July 2022 APPLY NOW.
Biasiswa Tunku Abdul Rahman is looking for scholars with strong drive perseverance and financial need who are keen to develop the nation. Biasiswa Tunku Abdul Rahman BTAR 2021 bertujuan untuk membantu pelajar yang berpotensi tinggi dan layak supaya mereka dapat melanjutkan pelajaran di institusi tempatan sama ada awam ataupun swasta. Menyediakan biasiswa kepada pelajar yang mengikuti kursus bukan bidang STEM Sains Teknologi Kejuruteraan dan Matematik sahaja.
Penajaan penuh bayaran yuran pengajian. He was just another regular malay in his time. Recipients of this scholarship are named Tunku Scholars.
Biasiswa berprestij dan eksklusif ini ditawarkan kepada pelajar cemerlang dan berbakat kepimpinan yang tinggi. Oleh kerana BTAR 2021 menekankan kecemerlangan yang holistik penerima-penerima biasiswa yang dipanggil Tunku Scholars ini akan melalui. Ad Enjoy low prices on earths biggest selection of books electronics home apparel more.
We encourage all Malaysians from all fields of. Oleh kerana BTAR menekankan kecemerlangan yang holistik penerima-penerima biasiswa yang dipanggil Tunku Scholars ini akan melalui program. Borang Permohonan Biasiswa Tunku Abdul Rahman 2022.
Yayasan Tunku Abdul Rahman Scholarship Deadline 31 May 2020 Science Career
Biasiswa Tunku Abdul Rahman Yayasan Tunku Abdul Rahman Facebook
Btar 2022 Permohonan Biasiswa Tunku Abdul Rahman
Contact Us Yayasan Tunku Abdul Rahman
Biasiswa Tunku Abdul Rahman Btar Scholarship
Paniirselvam J Paniirj Twitter
Permohonan Biasiswa Tunku Abdul Rahman Btar Ijazah Sarjana Muda
Apply Yayasan Tunku Abdul Rahman
How Yayasan Tunku Abdul Rahman Empowers Under Represented Youths Tatler Asia
Tunku Abdul Rahman Scholarship Btar Yayasan Tunku Abdul Rahman
Yayasan Tunku Abdul Rahman Home Facebook
Haziq Azree Biasiswa Tunku Abdul Rahman
Biasiswa Tunku Abdul Rahman Lepasan Spm Stpm Matrikulasi Asasi Dan Diploma Pendidikanmalaysia Com
Permohonan Biasiswa Yayasan Tunku Abdul Rahman Btar 202 Pusat Hal Ehwal Pelajar
Paniirselvam J Paniirj Twitter
Tawaran Biasiswa Tunku Abdul Rahman Pdf


